中小学生掌握17个心算技巧,10倍速提升,轻松变身数学小高手!
中小学生掌握17个心算技巧,10倍速提升,轻松变身数学小高手!
心算,开启数学思维的闪电战!
心算,这个看似简单实则深藏不露的数学技能,就像是一场思维的闪电战。它不仅仅是一种计算方式,更是一种洞察数字结构、灵活运用数学规律的智慧展现。
当你面对一道复杂的计算题时,心算派的高手们能够迅速看透数字的奥秘,运用十进制、交换位置、结合率等技巧,在脑海中迅速构建出多种解题路径。他们就像是在数字的海洋中自由穿梭的潜水员,能够迅速捕捉到最精准的答案。
相比之下,笔算虽然稳妥,但往往显得过于按部就班。它需要你一步步来,每个数字都得仔细算上几遍,才能得出最终的答案。而心算则能让你在瞬间捕捉到数字之间的关联,迅速得出答案,大大节省了时间和精力。
那么,你是不是也被心算的魅力所吸引了呢?它不仅能够锻炼你的数学思维,还能让你在面对复杂问题时更加从容不迫。快来一起探索心算的奥秘吧,让你的数学思维也来一次闪电般的提升!

01 如何计算79+47——心算有多种运算方法
加法,不只是简单的数字堆砌,它是一门艺术,一门心算的艺术!
方法一:分步加法,轻松上手
先将79与40相加,脑海中浮现79,加上40,个位数不变,仍是9!70+40=110,再加上个位的9+7(先算9+6=15,再+1=16),得到126!
方法二:十位先行,大局在握
十位数相加,70+40=110,快速锁定大体数值!个位数9+7=16,完美收尾,110+16=126!
方法三:巧借巧还,速算无敌
将79看作80-1,与47相加后再减1,127-1=126,心算小能手就是你!或者,从47里借1给79,46+80=126,借来还去,轻松搞定!
✨ 心算达人秘籍 ✨
尝试多种方法,找到最适合你的那一种!经常练习,避免粗心大意,让错误无处遁形!
心算,让计算变得简单又有趣!快来一起成为心算小达人吧!
02 如何计算589+762——交换律·结合律
三位数相加,轻松搞定!
面对三位数相加,你是否又开始头疼?别怕,我们有一个简单又实用的方法!
拆分法,让计算变得简单
将三位数拆分成整百、整十和个位,比如589=500+80+9,762=700+60+2。这样,我们就可以随意排序、相加,让计算变得更灵活!
多种思路,任你选
顺序相加:589+700=1289,再加60=1349,最后加2=1351。简单明了,一步步来!分组相加:先算500+700=1200,再算80+60=140,最后9+2=11。三组数相加,答案依然准确!部分相加后组合:58+76=134,末尾添0变1340;再算9+2=11,最后1340+11=1351。这个方法也很巧妙哦!
小技巧:答案验证
得出答案后,别忘了检查个位数。比如这道题,答案的个位数只能是1(因为9+2=11)。如果答案是个位数是其他数字,那就说明计算过程中可能有误哦!
选择你喜欢的方法
我们每个人都有自己喜欢的计算方式。在计算三位数相加时,你可以从上面的方法中挑选最适合自己的两种来计算。只要答案一致,你就可以放心啦!
快来试试吧!用我们的方法,三位数相加也能变得轻松又愉快!
03 如何计算398+567——10的整倍数
十进制计算小窍门,让数学变得超简单!
十进制基础,轻松掌握!
我们的计算都离不开十进制。当数字大于10时,就向前一位进一,这个规则简单又实用!
整倍数计算,秒出结果!
遇到10、100、1000这样的整倍数,计算瞬间变得超简单!比如1000+356,张口就来1356!
棘手数字?不存在的!
像637这样的数字有点尴尬,但700就好算多了。398和567也是棘手货?别急,398离400就差一点点,先算400+567=967,再减去多加的2,答案965轻松get!
运用整倍数,计算飞起来!
在十进制里,用整倍数来计算,速度飞快!比如99+298+197,先算100+300+200=600,再减去多加的6,答案594秒出!
九九乘法小窍门!
学习九九乘法口诀时,有个小窍门哦!9,18,27...81,这些数字的个位数是按照9、8、7...1的顺序依次减1排序的。掌握了这个小技巧,乘法口诀记得更牢!
快来试试这些十进制计算小窍门吧,让你的数学之路畅通无阻!
04 如何计算1000-632——找零计算法
收银员必备!找零计算大法,轻松get!
在那个收银机还没普及的年代,店员们的找零计算能力可都是杠杠的!今天,我们就来揭秘三种超实用的找零计算方法,任你挑选,喜欢哪种就用哪种!
方法一:999减法大法
将1000-632看作999-632,无需退位,简单快捷!999-632=367,再加1,答案就是368!
方法二:9-9-10法则
将1000看作990和10,分别进行减法运算!百位9-6=3,十位9-3=6,个位10-2=8,答案368轻松得出!孩子们都爱称它为“9-9-10法则”,记得超快哦!
方法三:逆向思维加法
思考一下,632还需要多少才能到1000呢?这就是我们的逆向思维加法!632加300,百位就到9了;再加60,十位也到9了;这样就有360了。最后加8,答案就是368!参照图示,一目了然!
这种“找零计算法”不仅适用于1000-632,还适用于其他情况哦!比如800-347,先用百位数的3加400,再用十位数的4加50,最后用个位数的7加3,答案就是453!
快来试试这些找零计算方法吧,让你的计算能力瞬间提升,成为生活中的小能手!
05 如何计算1316-598——多减去一点
“10的整倍数”减法绝招,让你秒变数学高手!
在减法中,“10的整倍数”简直就是神器!之前我们练习了被减数为整数的减法,现在来看看减数接近整数时该怎么办!
以1316-598为例,如果减数是600,那该多简单啊!
没错!我们就是要故意把598当作600来算!
故意多减:1316-600,一下子就得出716!但别急,这只是个中间步骤,因为我们多减了2。还回多减的数:把多减的2还回来,716+2=718!搞定!原题1316-598的答案就是718!
思路梳理:
遇到减数接近整数时,先故意把它当作整数来算。算完后,把多减或少减的数还回来,就得到正确答案了!
想象一下:
手里有1316颗小弹珠,交给老师598颗。不如先交600颗,再让老师还你2颗,是不是一样方便呢?
快来试试这个绝招吧!让你的减法计算变得飞快又准确!
那么,用算式写出来是怎样的呢?请看:

这就是我们的算式。
所以“故意多减去一点”的计算,实际上就是将()中多减的数字表示为-(x-y)的形式,去掉括号就变成了-x+y。
多运用“多减去一点”的方法,在练习中自然而然就能理解它的 原理了。
06 如何计算1012-676——减法与距离(“爬山时的减法”)
加法与减法是相逆的。因此,在思考“1012减去多少等于676”时,只需反过来思考,“676加多少等于1012?”
请看图。

如果我们从图上676米高的地方开始向上爬,爬多少米可以到达1012米呢?
用上一节的方法,从676米到1000米需要324米。最后还剩12米,即676米到顶端的高度差为336米。
即1012-676=336米。
换一种方式来看,我们先在下图的横线上用点标出676和1012的位置,题目就变成了计算从676到1012之间的距离。

因此在经过1000的时候,我们就可以将这个易于计算的整数单独 标记。
像这样,减法的概念和距离的概念就紧密结合在了一起。我们也可以将上图所示的676作为出发点(起点),将1012作为终点。
如果掌握了这种方法,等到高中阶段学习向量的时候,理解起来就非常简单了。
07 如何计算827-339——“强弱减法”
假设A有827颗弹珠,B有339颗弹珠,请问A比B多多少颗弹珠呢?

排好之后,我们可以先比较800颗和300颗孰多孰少。
如果每个人都将小弹珠一颗一颗拿掉,拿掉第300颗以后B就没有了,而A还剩下500颗。这时A就会想:“太棒啦,我赢了500颗。”
接下来,将27颗和39颗做比较,当两个人各拿掉27颗以后A就没有了,而这回B多了12颗。
A想:“哎呀,这次我输了12颗”。
最后,将500颗和12颗比较,当A和B各拿掉12颗以后,A还剩488颗弹珠,而这时,B已经没有了。
我们来总结一下。
在比较A的827和B的339孰多孰少之前,我们如果先看百位就可以发现,A比B多了500。而看到后两位时,则可以发现B比A多了12。所以在最终对决时,将500和12相比,就可以看到,500比12多了488。
除了像上面这样对比外,我们还可以用如下算式表示:

在上面的式子中,我们是将27转化成-(×××-27),熟练之后,这种做题技巧就能自然而然地加以使用。
其实,这个计算方法与“依次减去相同数字”的方法类似,我们可以像下面这样表示出来:
827和339→(依次减去300)527和39
→(依次减去27)500和12
最后500-12=488。
08 如何计算364-(273-136)——排列·组合(凑整)
加减法速算秘籍!组合式计算,让难题变简单!
当加减法计算项超过3个时,你是否觉得计算变得吃力又繁琐?别担心,我们有一个超实用的秘籍——组合式计算!
秘籍揭秘:
在计算只含有加减法的算式时,观察各项的顺序和组合,找出最简单的组合进行计算,是关键!
实例演示:
356+487+644直接按顺序算?太累!换个思路,356+644=1000,再+487=1487,轻松搞定!364-(273-136)遵守规则先算括号?太烦!去掉括号,364+136=500,再-273=227,简单快捷!672-183-272依次相减?太慢!先算672-272=400,再-183=217,效率翻倍!672-183-117类似上题,但更巧妙!把183和117凑一起,672-(183+117)=672-300=372,一秒出结果!
秘籍核心:
观察:细心观察各项,找出能凑成整数的组合。组合:将能凑成整数的项组合在一起计算。简化:通过组合计算,简化计算过程,提高计算速度。
掌握了组合式计算秘籍,加减法计算再也不是难题!快来试试吧,让你的计算速度飞起来!
09 如何计算8.3-0.492——可以瞬间完成的小数减法
小数加减法,心算也能轻松驾驭!
在十进制的世界里,小数计算同样遵循着基本的法则。但别担心,即使面对小数,我们也能用心算轻松搞定!
你是否也曾被小数计算难倒?看看下面的题目,你能迅速给出答案吗?
10-0.04=?3.5-1.51=?
掌握方法,小数计算不再难!
对于第1题,你可以想象成1000-4,算好后调整小数点,得出9.96。或者,你也可以先算出0.04到1还需0.96,再从10中减去这1(即减去10中的9,剩下1),再加上剩下的0.96,答案同样是9.96!对于第2题,试试“强弱减法”吧!前后项都减去1.5,得到2-0.01,轻松得出1.99!
掌握了这些方法,连8.3-0.492这样的题目也变得简单起来!
8比0多了8,0.492比0.3多了0.192,所以只需计算8-0.192,答案就是7.808!
再来看个例子,1.02-0.486:
用“爬山时的减法”:从0.486爬到1需要0.514,再加上多出的0.02,答案就是0.534!或者用“强弱减法”:直接计算1-0.466(因为0.486近似为0.466,方便计算),答案同样是0.534!
来个小测试,看看你是否掌握了这些技巧:
100-11.001=?
答案揭晓:88.999!
如果你答对了,那就继续挑战后面的练习题吧!相信你一定能成为小数加减法的心算高手!
10 如何计算38×7——两位数×一位数
在乘法心算中,最重要的法则是“乘法分配律”。
以38×7为例,我们进行如下计算。


可以参考上方的面积图来看左侧的计算流程。
我们可以想象一下,假设有7块豆饼,每一块豆饼上都有38颗小豆子,那么,当我们计算所有豆饼上小豆子的总数时:
7个30颗小豆子的豆饼,7个8颗小豆子的豆饼
可以像上面这样分开计算之后再相加,就可以得出答案。
心算本题时,我们需要在3×7=21的后面添0,并将得到的210记在脑中,在最后得出7×8=56后,将二者对接。
也就是说,计算一共分为两个阶段:将第一阶段的答案记住,与此同时进行第二阶段的计算。
对于刚开始学习的朋友来说,这可能需要花一些时间来适应,但当我们掌握了这种方法,就会慢慢发现它的有趣和实用之处。
我们可以先试着挑战简单一些的题目,如12×7,之后再慢慢挑战 难题。
除此之外,还有以下解题思路,我们可以看情况选择合适的方法:
(1)乘以9(看作10减1)。
例:17×9=17×(10-1)=170-17=153
28×9=28×(10-1)=280-28=252
(2)乘以39 (看作40减1)。
例:39×7=(40-1)×7=280-7=273
49×8=(50-1)×8=400-8=392
11 如何计算395÷2——一半是多少(1)
除法心算大揭秘!轻松掌握除以2的秘诀!
除以2,听起来简单吧?求某数的一半,这可是数学里的基础操作哦!偶数除以2,小菜一碟;奇数除以2,虽然有点挑战,但别担心,我们有妙招!
想象一下,8除以2等于4,轻松搞定!但7除以2呢?得到3.5,嗯,有点小数的感觉了。
现在,让我们来挑战一下395÷2这个题目!其实,我们的方法和笔算差不多,但更快捷哦!
先看百位:3除以2得1,余1。我们把1看作100的“头”,然后留下那个1,备用。再看十位:把刚才余下的1和9加在一起,变成19。19除以2得9,又余1。这次,我们把9看作90的“头”,1再留下来。最后看个位:把十位余下的1和5加在一起,变成15。15除以2得7.5,搞定!
所以,395÷2的答案就是197.5!
仔细观察一下,我们其实一直在做“从大至小依次除以2,遇奇数余1留到下一步”的工作。这个技巧,对于两位数的奇数,特别是11、13、15、17、19这些数字,简直不要太好用!
习惯了这个方法,遇到更大的数字,比如75839÷2,也不在话下!
判断:要不要余1留到下一步?迅速除以2:依次把7、15、18、3、19这些“组合”除以2,得到3、7、9、1、9、5。
在脑子里迅速把这些数字排好队,“三、七、九、一、九、五”,别忘了小数点,答案就是37919.5!
怎么样,是不是觉得除以2也没那么难了?快来试试吧,你也能成为除法心算小达人!
12 如何计算54×15——一半是多少(2)
乘法心算新技巧!轻松求“一半”的奥秘!
在乘法世界里,求某数的一半,就是“乘以0.5”,这么简单,你get了吗?
想象一下,54×0.5,就是把54分成两半,答案就是27!或者,你也可以先让54乘以5,再把小数点向左挪一位,答案还是27!
让我们来看看几个实例,感受一下这个技巧的魅力吧!
3.4×1.51.5倍就是“自己加自己的一半”,所以3.4+1.7=5.1!54×15这就是把54的10倍和5倍加起来,540+270=810!42×0.15先算42×1.5,再挪小数点,42+21=63,小数点左移一位,答案就是6.3!23×0.35先算23×3.5,再挪小数点,23×3=69,23的一半是11.5,加起来80.5,小数点左移一位,答案就是8.05!54×0.55乘以0.55就是“一半加上小数点前挪一位的一半”,所以27+2.7=29.7!或者看作54×55,先算54×5=270,进位成2700,再加起来2970,小数点左移两位,答案还是29.7!
心算,就是灵活运用各种方法,让计算变得简单又有趣!快来试试这些技巧,成为乘法心算小达人吧!
13 如何计算13×73——两位数×两位数(心算明星题)
两位数×两位数可以说是心算中的明星题。
我们甚至可以说,这项计算的快慢直接关系到心算能力的高低。
那么,我们该如何计算13×73呢?
请看右图。
这是一个宽13、长73的长方形,它的面积大小表示13×73的大小。
看图即可发现,a的面积为730,b的面积为210,c的面积为9。将所有和相加,得到949的答案。
如下,是老师此时的思路:

① 有10个73,所以先得到730。
② 将730记在脑中进行下一步计算。
③ 接下来有3个73。
④ 可以立刻计算出73×3得219的人不用看这一步。
如果不能立刻算出,我们可以先计算3×70得210,记在脑中,再计算3×3得9,二者相加得到219。
⑤ 最后在脑中计算730+219,得到949。
为了解释得更清楚些,我特意将过程写得长了一些,实际做起来速度是非常快的。
那么,我们该如何计算47×83呢?
这道题难一些。50个83得4150,然后减去3个83即249得3901(可以先减250再加1)。
做类似题型时,最重要的是要找到易于计算的组合。上面的例子中,如果将47×83看作47×80+47×3,计算起来相对简单,但如果分解成83×40和83×7,计算起来就相对复杂了。
因此,在进行复杂的心算时,能否牢记数字、找到最佳分解法是非常关键的。
14 如何计算75×32——分解质因数
做加法时,我们可以将算式746+38看作746+30+8,即将38分解成30和8,分两个阶段进行计算。
同样的,一些乘法题我们也可以通过分成两个阶段来简化计算。
以标题为例:
75=3×5×5 32=2×2×2×2×2
将这些数全部相乘,即:

但是在这道题中,如果我们一股脑儿将75和32因素分解(分解为各因素的乘积),效率反而会有所下降。
那么,我们应该怎么做呢?
(1)将原式分解为75×2×16,而后变为150×16,进而变为150×2×8,计算300×8得2400。
(2)熟练的同学可以直接记住75×4得300,那么75×4×8=300×8=2400。
(3)我们基本上都知道25×4=100,那么75=3×25,32=4×8,3×8=24,后面再添两个0即得2400。
熟练的同学可以使用上述方法迅速得出答案。
这些方法多用于计算整数×整数,尤其是一边末位为5,另一边为偶数的题目。
本质上是运用了5×2=10(可以得到整数的计算)。
比如,26×35可以看作先求26的一半,再求35的2倍,即13×70,从而迅速得出910的答案。
同时,在计算此题目的过程中,我们会频繁接触到如25×4=100,75×4=300,125×8=1000等式子,可以记住这些答案,进而直接运用在计算中。
15 如何计算3.5÷140——除法即分数


16 如何计算37÷0.2——小数和分数的相互转化(1)
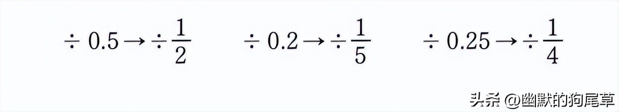
在计算÷0.5、÷0.2、÷0.25这样的式子时,我们不必直接除,可以先做如下转化:
÷0.5→×2 ÷0.2→×5 ÷0.25→×4
这样计算就简单了许多。
我们再将小数转换为分数:

对比两种转化方式我们可以发现一个规律,即“除以分数相当于乘以它的倒数”。例如在计算5÷0.25时:

我们可以迅速找到这种转化的感觉。
因此,以本节标题37÷0.2为例,我们可以立刻将37乘以5得出185的答案。
同样,解3.7÷0.5时,将3.7乘以2即得答案7.4。
解5.26÷0.25时,将5.26乘以4即得答案21.04(计算5.26×4时,我们可以先计算4×5=20,而后0.25的4倍得1,最后0.01乘以4得0.04)。
这种将除数转化为分数后再进行计算的方法,对于上述这些特殊的数字运算非常有效,但若遇到如下(1)~(3)的情况,这种方法。并非全部适用,我们应该尝试活用多种方法。例如:
(1)在做2.1÷0.35时,可以将0.35乘以2得0.7,再乘以3得2.1,答案即为2×3得6。
(2)在做64.05÷0.21时,可以先忽略1.05,将0.21乘以300得63。余下的1.05正常除以0.21即得5。最后合起来得305。
(3)在做0.39÷0.65时,可以先同乘以100得39÷65,再同时“约分”13,得3÷5=0.6。这种方法比较迅速。
如果拿到题目不加以辨别就直接转化为分数,很可能会影响做题的效率。
17 如何计算21÷3.75——小数和分数的相互转化(2)


-
- 明朝历任皇帝及年号清单
-
2025-10-29 11:39:13
-
- 5块钱两杯,批量复制蜜雪冰城,河南茶饮“杀疯”了
-
2025-10-29 11:36:58
-
- 中国铁路发展历程
-
2025-10-29 11:34:43
-
- 毛利人(新西兰原住民)
-
2025-10-29 11:32:28
-
- gay圈到底有哪些名媛
-
2025-10-29 11:30:12
-
- 金庸10大经典武侠剧,你看过几部?
-
2025-10-28 20:37:58
-
- 男子贷款近20万开奶茶店不到四个月倒闭亏23万,网友:加盟的别干
-
2025-10-28 20:35:43
-
- 陈学冬爸爸:当初抛弃7岁儿子,儿子成明星拒养后妈和异母兄弟
-
2025-10-28 20:33:28
-
- 泰国曼谷大皇宫-玉佛寺
-
2025-10-28 20:31:13
-
- 【三八节特辑】德州女特警刘洪娟:苦练不言弃 英武“霸王花”
-
2025-10-28 20:28:58
-
- 读一点文言文:齐威王召即墨大夫
-
2025-10-28 20:26:43
-
- 截教三代十大高手:火灵、闻仲、余元不逊色二代弟子
-
2025-10-28 20:24:28
-
- 散弹枪和霰弹枪,傻傻分不清楚?
-
2025-10-28 20:22:13
-
- 纣王最怕闻太师的三个真相,原因竟然这么简单
-
2025-10-28 20:19:58
-
- 藏尸修炼、养小鬼、吸毒,看看泰国僧人还有多少变态丑闻?
-
2025-10-28 20:17:43
-
- 刘亦菲和她干爹陈金飞,关系纠缠20年的背后
-
2025-10-28 20:15:28
-
- 男人偏爱一个女人时,显著的特征是:护短
-
2025-10-28 20:13:13
-
- 《月亮与六便士》蕴涵的人生哲理
-
2025-10-28 20:10:58
-
- 揭秘吴春怡:娱乐圈八卦传闻背后的真相与坚韧
-
2025-10-28 20:08:43
-
- 李沁,出道16年,被电诈骗走《红楼梦》片酬,善良的她33岁仍单身
-
2025-10-28 20:06:28



牛蒡是牛的什么器官(牛杂中牛蒡是牛的什么器官)
马晓磊同志任淄博市委书记 马晓磊简历